Difference between revisions of "Computational geometry"
m (→Finding the point of intersection of two lines) |
|||
| Line 129: | Line 129: | ||
<math> m </math>, and then solved for <math> b </math>. A similar procedure can be used for | <math> m </math>, and then solved for <math> b </math>. A similar procedure can be used for | ||
standard form. | standard form. | ||
| − | We state here | + | We state here the following pseudocode for determining the |
coefficients <math> A </math>, <math> B </math>, <math> C </math> of the equation of the line through | coefficients <math> A </math>, <math> B </math>, <math> C </math> of the equation of the line through | ||
points <math> (x_1, y_1) </math> and <math> (x_2, y_2) </math> in standard form: | points <math> (x_1, y_1) </math> and <math> (x_2, y_2) </math> in standard form: | ||
| Line 139: | Line 139: | ||
\end{array} | \end{array} | ||
</math> | </math> | ||
| + | (It is one thing to derive a formula or algorithm and quite another thing to prove it. The derivation of this formula is not shown, but proving it is as easy as substituting to determine that the line really does pass through the two given points.) | ||
==Parallel and coincident lines== | ==Parallel and coincident lines== | ||
| Line 227: | Line 228: | ||
algebraically that the division by zero prevents us from finding a unique | algebraically that the division by zero prevents us from finding a unique | ||
intersection point for such pairs of lines. | intersection point for such pairs of lines. | ||
| + | |||
| + | ==Direction numbers for a line== | ||
| + | This in itself is not very useful, but it will become important in the | ||
| + | following sections as a simplifying concept.<br/> | ||
| + | Lines are straight; effectively they always point in the same direction. One | ||
| + | way to express that direction has been slope, which unfortunately is undefined | ||
| + | for vertical lines. ''The slope <math> m </math> for a line told us that you could | ||
| + | start at any point on the line, move <math> \Delta x </math> units to the right, then | ||
| + | move <math> m\Delta x </math> units up, and you would again be located on the line.'' | ||
| + | Thus we can say that <math> (1,m) </math> is a pair of direction numbers for that line. | ||
| + | This means that if <math> (x_0,y_0) </math> is on a line, and <math> \Delta x </math> and | ||
| + | <math> \Delta y </math> are in the ratio <math> 1 : m </math>, for that line, then | ||
| + | <math> (x_0+\Delta x,y_0+\Delta y) </math> is on the same line. This means that | ||
| + | <math> (2,2m) </math> is also a set of direction numbers for that line, or, indeed, any | ||
| + | multiple of <math> (1,m) </math> other than <math> (0,0) </math>. (<math> (0,0) </math> | ||
| + | clearly tells you nothing about the line.) <br/> | ||
| + | We can define something similar for the line in standard form. Choose some | ||
| + | starting point <math> (x_0,y_0) </math> on line <math> l </math>. Now, move to a new point | ||
| + | <math> (x_0+\Delta x,y_0+\Delta y) </math>. In order for this point to be on the line | ||
| + | <math> l </math>, we must have | ||
| + | :<math>\displaystyle | ||
| + | A(x_0+\Delta x)+B(y_0+\Delta y)+C = 0 | ||
| + | </math> | ||
| + | Expanding and rearranging gives | ||
| + | :<math>\displaystyle | ||
| + | Ax_0 + By_0 + C + A\Delta x + B\Delta y = 0 | ||
| + | </math> | ||
| + | We know that <math> Ax_0 + By_0 + C = 0 </math> since <math> (x,y) </math> is on line <math> l </math>. | ||
| + | Therefore, | ||
| + | :<math>\displaystyle | ||
| + | \begin{array}{rcl} | ||
| + | A \Delta x + B \Delta y &=& 0 \\ | ||
| + | A \Delta x &=& -B \Delta y | ||
| + | \end{array} | ||
| + | </math> | ||
| + | Convince yourself, by examining the equation above, that <math> (-B,A) </math> is a set | ||
| + | of direction numbers for line <math> l </math>. Similarly, if we have a pair of | ||
| + | direction numbers <math> (\Delta x,\Delta y) </math>, although this does not define a | ||
| + | unique line, we can obtain possible values of <math> A </math> and <math> B </math> as | ||
| + | <math> -\Delta y </math> and <math> \Delta x </math>, respectively.<br/> | ||
| + | The relationship between direction numbers and points on the corresponding line | ||
| + | is an "if-and-only-if" relationship. If <math> \Delta x </math> and <math> \Delta y </math> are | ||
| + | in the ratio <math> -B:A </math>, then we can "shift" by <math> (\Delta x,\Delta y) </math>, | ||
| + | and ''vice versa''.<br/> | ||
| + | Any line perpendicular to <math> l </math> will have the direction numbers <math> (A,B) </math>, | ||
| + | and thus a possible equation starts <math> -Bx + Ay + \ldots = 0 </math>. | ||
| + | (This is the same as saying, for non-vertical lines, that the product of slopes | ||
| + | of perpendicular lines is -1. Examine the equation for the slope of a line | ||
| + | given in standard form and you'll see why.) In fact, in an algebraic treatment of geometry | ||
| + | such as this, we do not prove this claim, but instead proclaim it the definition of | ||
| + | perpendicularity: given two lines with direction numbers <math> (A,B) </math> and | ||
| + | <math> (C,D) </math>, they are perpendicular [http://en.wikipedia.org/wiki/If_and_only_if if and only if] | ||
| + | <math> AC + BD = 0 </math>.<br/> | ||
| + | Given some line, all lines parallel to that one have the same direction numbers. That is, the direction | ||
| + | numbers, while providing information about a line's direction, provide no | ||
| + | information about its position. However, sometimes all that is needed is the direction, and here the | ||
| + | direction numbers are very useful. | ||
| + | |||
| + | ==Dropping a perpendicular== | ||
| + | Given a line <math> l </math> <math> (Ax+By+C=0) </math> and a point <math> P </math> <math> (x_0,y_0) </math> | ||
| + | which may or may not be on <math> l </math>, can we find the line perpendicular to | ||
| + | <math> l </math> passing through <math> P </math>? By Euclid's Fifth Postulate, there exists | ||
| + | exactly one such line. The algorithm to find it is given below: | ||
| + | :<math> | ||
| + | \begin{array}{rl} | ||
| + | 1. & A' \gets -B \\ | ||
| + | 2. & B' \gets A \\ | ||
| + | 3. & C' \gets Bx_0 - Ay_0 | ||
| + | \end{array} | ||
| + | </math> | ||
| + | where <math> A'x+B'y+C'=0 </math> is the perpendicular line desired.<br/> | ||
| + | There is nothing difficult to memorize here: we already noted in the previous | ||
| + | section how to find the values of <math> A' </math> and <math> B' </math>, and finding the value | ||
| + | of <math> C' </math> is merely setting <math> A'x_0+B'y_0+C' </math> equal to zero (so that the | ||
| + | point <math> (x_0,y_0) </math> will be on the resulting line).<br/> | ||
| + | The ''foot'' of the perpendicular is the point at which it intersects the | ||
| + | line <math> l </math>. It is guaranteed to exist since two lines cannot, of course, be | ||
| + | both perpendicular and parallel. Combining the above algorithm with the line intersection algorithm | ||
| + | explained earlier gives a solution for the location of the point. A bit of algebra gives | ||
| + | this optimized algorithm: | ||
| + | :<math> | ||
| + | \begin{array}{rl} | ||
| + | 1. & z \gets \frac{Ax_0+By_0+C}{A^2+B^2} \\ | ||
| + | 2. & x \gets x_0 - Az \\ | ||
| + | 3. & y \gets y_0 - Bz | ||
| + | \end{array} | ||
| + | </math> | ||
| + | where <math> (x,y) </math> are the coordinates of the foot of the perpendicular from | ||
| + | <math> P </math> to <math> l </math>. | ||
| + | |||
| + | ==The distance from a point to a line== | ||
| + | By the distance from a point <math> P </math> <math> (x_0,y_0) </math> to a line <math> l </math> | ||
| + | <math> (Ax+By+C=0) </math> what is meant is the closest possible distance from <math> P </math> | ||
| + | to any point on <math> l </math>. What point on <math> l </math> is closest to <math> P </math>? | ||
| + | It is intuitive perhaps that it is obtained by dropping a perpendicular | ||
| + | from <math> P </math> to <math> l </math>. That is, we choose a point <math> Q </math> such that | ||
| + | <math> PQ \perp l </math>, and the distance from <math> P </math> to <math> l </math> is then the length | ||
| + | of line segment <math> \overline{PQ} </math>, denoted <math> |PQ| </math>.<br/> | ||
| + | <br/> | ||
| + | The reason why this is the shortest distance possible is this: Choose any other | ||
| + | point <math> R </math> on <math> l </math>. Now, <math> \triangle PQR </math> is right-angled at <math> Q </math>. | ||
| + | The longest side of a right triangle is the hypotenuse, so that | ||
| + | <math> |PR| > |PQ| </math>. Thus <math> |PQ| </math> is truly the shortest possible distance.<br/> | ||
| + | <br/> | ||
| + | Now, as noted earlier, the line <math> PQ </math>, being perpendicular to <math> l </math>, has the direction numbers <math> (A,B) </math>. Thus, for any <math> t </math>, the point <math> (x_0+At,y_0+Bt) </math> is on | ||
| + | <math> PQ </math>. For some choice of <math> t </math>, this point must coincide with <math> Q </math>. | ||
| + | Since that point lies on <math> l </math>, we have | ||
| + | :<math>\displaystyle | ||
| + | \begin{array}{rcl} | ||
| + | A(x_0+At)+B(y_0+Bt)+C&=&0 \\ | ||
| + | Ax_0 + By_0 + C + A^2 t + B^2 t &=& 0 \\ | ||
| + | (A^2+B^2)t &=& -(Ax_0+By_0+C) \\ | ||
| + | t &=& -\frac{Ax_0+By_0+C}{A^2+B^2} | ||
| + | \end{array} | ||
| + | </math> | ||
| + | This instantly gives the formula for the foot of the perpendicular given in | ||
| + | the previous section.<br/> | ||
| + | Now, the distance <math> |PQ| </math> is found with the Euclidean formula: | ||
| + | :<math>\displaystyle | ||
| + | \begin{array}{rcl} | ||
| + | |PQ| &=& \sqrt{(At)^2+(Bt)^2} \\ | ||
| + | &=& \sqrt{A^2 t^2 + B^2 t^2} \\ | ||
| + | &=& \sqrt{(A^2+B^2)t^2} \\ | ||
| + | &=& |t| \sqrt{A^2+B^2} \\ | ||
| + | &=& \frac{|Ax_0+By_0+C|}{A^2+B^2} \sqrt{A^2+B^2} \\ | ||
| + | &=& \frac{|Ax_0+By_0+C|}{\sqrt{A^2+B^2}} | ||
| + | \end{array} | ||
| + | </math> | ||
| + | The last line is the formula to remember. To restate, | ||
| + | :<math>\displaystyle | ||
| + | \operatorname{dist}(P,l) = \frac{|Ax_0+By_0+C|}{\sqrt{A^2+B^2}} | ||
| + | </math> | ||
| + | (It was noted earlier that if <math> A </math> and <math> B </math> are both zero, then | ||
| + | we don't actually have a line. Therefore, the denominator above can never be | ||
| + | zero, which is a good thing.) | ||
| + | |||
| + | ==On which side of a line does a point lie?== | ||
| + | A line partitions the plane into two regions. For example, a vertical line | ||
| + | divides the plane into a region on the left and a region on the right. Now, | ||
| + | when a point <math> P </math> <math> (x_0,y_0) </math> does not satisfy the equation of a line | ||
| + | <math> l </math> <math> (Ax+By+C=0) </math>, can we determine on which side of the line it lies? | ||
| + | <br/> | ||
| + | Yes we can, with a certain restriction. If <math> Ax_0 + By_0 + C > 0 </math>, then the | ||
| + | point lies on one side of the line; if <math> Ax_0 + By_0 + C < 0 </math>, then it lies | ||
| + | on the other side. However, it's a bit pointless to say \emph{which} side it | ||
| + | lies on: does it lie on the left or the right? If the line is horizontal, then | ||
| + | this question becomes meaningless. Also, notice that if we flip the signs of | ||
| + | <math> A </math>, <math> B </math>, and <math> C </math>, then the value of <math> Ax_0 + By_0 + C </math> is | ||
| + | negated also, but that changes neither the point or the line. It is enough, | ||
| + | however, to tell if two points are on the same side of the line or on opposite | ||
| + | sides; simply determine whether <math> Ax + By + C </math> has the same sign for both, | ||
| + | or different signs. | ||
| + | |||
| + | ==The distance between two lines== | ||
| + | If two lines intersect, the closest distance between them is zero, namely at | ||
| + | their intersection point. If they are coincident, then the distance is | ||
| + | similarly zero. If two lines are parallel, however, there is a nonzero distance | ||
| + | between them, and it is defined similarly to the distance between a point and a | ||
| + | line. To find this distance, we notice that the lines | ||
| + | <math> OP </math> and <math> OQ </math> are coincident, where <math> O </math> is the origin, <math> P </math> is | ||
| + | the foot of the perpendicular from <math> O </math> to <math> l_1 </math>, and <math> Q </math> is the | ||
| + | foot of the perpendicular from <math> O </math> to <math> l_2 </math>. We know, by substituting | ||
| + | <math> (x_0,y_0) = (0,0) </math> for both <math> l_1 </math> (<math> A_1x+B_1y+C_1=0 </math>) and | ||
| + | <math> l_2 </math> (<math> A_2x+B_2y+C_2=0 </math>) that: | ||
| + | :<math>\displaystyle | ||
| + | \begin{array}{rcl} | ||
| + | |OP| = \frac{C_1}{\sqrt{A_1^2+B_1^2}} \\ | ||
| + | |OQ| = \frac{C_2}{\sqrt{A_2^2+B_2^2}} | ||
| + | \end{array} | ||
| + | </math> | ||
| + | Now here we come up against a complication. If <math> O </math> is on the line | ||
| + | ''segment'' <math> \overline{PQ} </math>, then we have to ''add'' <math> |OP| </math> and | ||
| + | <math> |OQ| </math> to get the desired <math> |PQ| </math>. That is, if <math> O </math> is on the same | ||
| + | side of both lines. Otherwise, we have to take the difference. Here's some | ||
| + | code that takes care of these details: | ||
| + | :<math> | ||
| + | \begin{array}{rl} | ||
| + | 1. & d_1 \gets C_1/\sqrt{A_1^2+B_1^2} \\ | ||
| + | 2. & d_2 \gets C_2/\sqrt{A_2^2+B_2^2} \\ | ||
| + | 3. & \mathrm{if} A_1 \neq 0 : \\ | ||
| + | 4. & \ \ \ \ \ \mathrm{if} A_1 \mathrm{\,and\,} A_2 \mathrm{\,have\ the\ same\ sign:} \\ | ||
| + | 5. & \ \ \ \ \ \ \ \ \ \ dist \gets |d_1 - d_2| \\ | ||
| + | 6. & \ \ \ \ \ \mathrm{else:} \\ | ||
| + | 7. & \ \ \ \ \ \ \ \ \ \ dist \gets |d_1 + d_2| \\ | ||
| + | 8. & \mathrm{else:} \\ | ||
| + | 9. & \ \ \ \ \ \mathrm{if} B_1 \mathrm{\,and\,} B_2 \mathrm{\,have\ the\ same\ sign:} \\ | ||
| + | 10. & \ \ \ \ \ \ \ \ \ \ dist \gets |d_1 - d_2| \\ | ||
| + | 11. & \ \ \ \ \ \mathrm{else:} \\ | ||
| + | 12. & \ \ \ \ \ \ \ \ \ \ dist \gets |d_1 + d_2| | ||
| + | \end{array} | ||
| + | </math> | ||
Revision as of 02:57, 8 November 2009
Contents
- 1 Introduction and Scope
- 2 Points
- 3 Lines
- 3.1 What is a line?
- 3.2 The equation of a line
- 3.3 Standard Form of the equation of a line
- 3.4 Slope and intercepts of the line in standard form
- 3.5 Determining if a point is on a line
- 3.6 Construction of the line through two given points
- 3.7 Parallel and coincident lines
- 3.8 Finding the point of intersection of two lines
- 3.9 Direction numbers for a line
- 3.10 Dropping a perpendicular
- 3.11 The distance from a point to a line
- 3.12 On which side of a line does a point lie?
- 3.13 The distance between two lines
Introduction and Scope
Definition
Computational geometry, as one can easily guess from the name, is the branch of computer science encompassing geometrical problems and how their solutions may be implemented (efficiently, one would hope) on a computer.
Scope
Essentially all of the computational geometry you will encounter in high-school level competitions, even
competitions such as the IOI, is plane Euclidean geometry, the noble subject on which Euclid wrote his
Elements and a favorite of mathematical competitions. You would be hard-pressed to find contests containing geometry problems in three dimensions or higher. You also do not need to worry about non-Euclidean
geometries in which the angles of a triangle don't quite add to 180 degrees, and that sort of thing. In short,
the type of geometry that shows up in computer science contests is the type of geometry to which you have
been exposed, countless times, in mathematics class, perhaps without being told that other geometries exist.
So in all that follows, the universe is two-dimensional, parallel lines never meet, the area of a circle with
radius
is
, and so on.
Points
Introduction
Many would claim that the point is the fundamental unit of geometry. Lines, circles, and polygons are all merely (infinite) collections of points and in fact we will initially consider them as such in order to derive several important results. A point is an exact location in space. Operations on points are very easy to perform computationally, simply because points themselves are such simple objects.
Representation: Cartesian coordinates
In our case, "space" is actually a plane, two-dimensional. That means that we need two real numbers to
describe any point in our space. Most of the time, we will be using the Cartesian (rectangular) coordinate
system. In fact, when points are given in the input of a programming problem, they are almost always
given in Cartesian coordinates. The Cartesian coordinate system is easy to understand and every pair of
real numbers corresponds to exactly one point in the plane (and vice versa), making it an ideal choice for
computational geometry.
Thus, a point will be represented in the computer's memory by an ordered pair of real numbers. Due to the
nature of geometry, it is usually inappropriate to use integers, as points generally do not fit neatly into the
integer lattice! Even if the input consists only of points with integer coordinates, calculations with these
coordinates will often yield points with non-integral coordinates, which can often cause counter-intuitive
behavior that will have you scratching your head! For example, in C++, when one integer is divided by
another, the result is always truncated to fit into an integer, and this is usually not desirable.
Determining whether two points coincide
Using the useful property of the Cartesian coordinate system discussed above, we can determine whether
or not two given points coincide. Denote the two points by
and
, with coordinates
and
, respectively, and then:
Read: The statement that
and
are the same point is equivalent to the statement that their corresponding coordinates are equal. That is,
and
having both the same x-coordinates and also the same y-coordinates is both sufficient and necessary for the two to be the same point.
The distance between two points
To find the distance between two points, we use the Euclidean formula. Given two points
and
, the distance between them is given by:
(Note that when we write
, we mean that
is a point with x-coordinate
and y-coordinate
.)
The midpoint of the line segment joining two points
Given two points, how may we find the midpoint of the line segment joining two points? (Intuitively, it is the point that is "right in the middle" of two given points. One might think that we require some knowledge about line segments in order to answer this, but it is for precisely the reason that, in a certain sense, no such knowledge is required to understand the answer, that this operation is found in the Points section. So, given two points
and
, this midpoint is given by
Lines
What is a line?
In axiomatic geometry, some terms such as point and line are left undefined, because an infinite regression of definitions is clearly absurd. In the algebraic approach we are taking, the line is defined in terms of the points which lie on it; that will be discussed in the following section. It will just be pointed out here that the word line is being used in the modern mathematical sense. Lines are straight; the terms line and straight line shall have identical meaning. Lines extend indefinitely in both directions, unlike rays and line segments.
The equation of a line
In computational geometry, we have to treat all aspects of geometry algebraically. Computers are excellent at dealing with numbers but have no mechanism for dealing with geometrical constructions; rather we must reduce
them to algebra if we wish to accomplish anything.
In Ontario high schools, the equation of a line is taught in the ninth grade. For example, the line which passes through the points (0,1) and (1,0) has the equation
. Precisely, this means that for a given point
, the statement
is equivalent to, or sufficient and necessary for, the point to be on the line.
The form of the equation of the line which is first introduced is generally the
, in which
is the slope of the line and
is the y-intercept. For example, the line discussed above has the equation
, that is,
and
. By substituting different values for
and
, we can obtain various (different) lines. But there's a problem here: if your line is vertical, then it is not
possible to choose values of
and
for the line. (Try it!) This is because the y-coordinate is no longer a function of the x-coordinate.
Thus, when dealing with lines computationally, it seems we would need to have
a special case: check if the line is vertical; if so, then do something,
otherwise do something else. This is a time-consuming and error-prone way of
coding.
Standard Form of the equation of a line
Even though the slope-intercept form cannot describe a vertical line, there is an equation that describes a vertical line. For example, the line passing through (3,1) and (3,8) is
. In fact, almost any line can be described by an equation of the form
. (Try it if you don't believe me. I have merely switched around
and
from the slope-intercept form.) Except... horizontal lines. So we have two forms of the equation of a line: one which fails on vertical lines and one which fails on horizontal lines. Can we combine them to give an equation of the line which is valid for any
line?
As it turns out, it is indeed possible.
That equation, the standard form of the equation of the line is:
By substituting appropriate values of
,
, and
, one can
describe any line with this equation. And by storing values of
,
, and
, one can represent a line in the computer's memory.
Here are some pairs of points and possible equations for each:
As you can see, it handles vertical and horizontal lines properly, as well
as lines which are neither.
Note that the standard form is not unique: for example, the equation of the
first line could have just as well been
or perhaps
. Any given line has infinitely many representations
in the standard form. However, each standard form representation describes
at most one line.
If
and
are both zero, the standard form describes no line
at all.
Slope and intercepts of the line in standard form
By isolating
from the standard form, we obtain the slope and y-intercept
form for line
(
) when
(that is, when
the line is not vertical):
The y-intercept is obtained by letting
and then:
Similarly, the x-intercept is given by:
In order for the x-intercept to exist, the line must not be horizontal, that
is,
.
Determining if a point is on a line
Using the definition of the equation of a line, it becomes evident that
to determine whether or not a point lies on a line, we simply substitute its
coordinates into the equation of the line, and check if the LHS is, indeed,
equal to zero. This allows us to determine, for example, that
is on the last line given in the table above, whereas
is not
on that line.
Construction of the line through two given points
A good question is: how do we determine that fourth equation above, the equation of the line through (6,6) and (4,9)? It's not immediately obvious from the two points given, whereas the other three are pretty easy.
For the slope-y-intercept form
, you first determined the slope
, and then solved for
. A similar procedure can be used for
standard form.
We state here the following pseudocode for determining the
coefficients
,
,
of the equation of the line through
points
and
in standard form:
(It is one thing to derive a formula or algorithm and quite another thing to prove it. The derivation of this formula is not shown, but proving it is as easy as substituting to determine that the line really does pass through the two given points.)
Parallel and coincident lines
In the slope and y-intercept form, two lines are either parallel or coincident if they
have the same slope. So given two lines
(
) and
(
),
we obtain, for
:
Cross-multiplying gives a result that is valid even if either or both lines are vertical, that is, it is valid for any pair of lines in standard form:
Now, in the slope-y-intercept form, two lines coincide if their slopes and y-intercepts both coincide. In a manner similar to that of the previous section, we obtain:
or, if x-intercepts are used instead:
Two lines coincide if
and either of the two
equations above holds. (As a matter of fact, if the two lines are coincident,
they will both hold, but only one of them needs to be checked.) If
but the lines are not coincident, they are parallel.
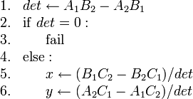
Finding the point of intersection of two lines
If two lines are coincident, every point on either line is an intersection
point. If they are parallel, then no intersection points exist. We consider the
general case in which neither is true.
In general, two lines intersect at a single point. That is, the intersection
point is the single point that lies on both lines. Since it lies on both lines,
it must satisfy the equations of both lines simultaneously. So to find the
intersection point of
and
, we seek the ordered pair
which satisfies:
This is a system of two linear equations in two unknowns and is solved by
Gaussian elimination. Multiply the first by
and the second by
, giving:
Subtracting the former from the latter gives, with cancellation of the
term:
Instead of redoing this to obtain the value of
, we take advantage of
symmetry and simply swap all the
's with the
's. (If you don't
believe that this works, do the derivation the long way.)
or:
Notice the quantity
, and how it forms the denominator
of the expressions for both
and
. When solving for the
intersection point on the computer, you only need to calculate this quantity
once. (This quantity, called a determinant, will resurface later on.)
Here is pseudocode for finding the intersection point:
When
, the lines are either parallel or coincident. We now see
algebraically that the division by zero prevents us from finding a unique
intersection point for such pairs of lines.
Direction numbers for a line
This in itself is not very useful, but it will become important in the
following sections as a simplifying concept.
Lines are straight; effectively they always point in the same direction. One
way to express that direction has been slope, which unfortunately is undefined
for vertical lines. The slope
for a line told us that you could
start at any point on the line, move
units to the right, then
move
units up, and you would again be located on the line.
Thus we can say that
is a pair of direction numbers for that line.
This means that if
is on a line, and
and
are in the ratio
, for that line, then
is on the same line. This means that
is also a set of direction numbers for that line, or, indeed, any
multiple of
other than
. (
clearly tells you nothing about the line.)
We can define something similar for the line in standard form. Choose some
starting point
on line
. Now, move to a new point
. In order for this point to be on the line
, we must have
Expanding and rearranging gives
We know that
since
is on line
.
Therefore,
Convince yourself, by examining the equation above, that
is a set
of direction numbers for line
. Similarly, if we have a pair of
direction numbers
, although this does not define a
unique line, we can obtain possible values of
and
as
and
, respectively.
The relationship between direction numbers and points on the corresponding line
is an "if-and-only-if" relationship. If
and
are
in the ratio
, then we can "shift" by
,
and vice versa.
Any line perpendicular to
will have the direction numbers
,
and thus a possible equation starts
.
(This is the same as saying, for non-vertical lines, that the product of slopes
of perpendicular lines is -1. Examine the equation for the slope of a line
given in standard form and you'll see why.) In fact, in an algebraic treatment of geometry
such as this, we do not prove this claim, but instead proclaim it the definition of
perpendicularity: given two lines with direction numbers
and
, they are perpendicular if and only if
.
Given some line, all lines parallel to that one have the same direction numbers. That is, the direction
numbers, while providing information about a line's direction, provide no
information about its position. However, sometimes all that is needed is the direction, and here the
direction numbers are very useful.
Dropping a perpendicular
Given a line
and a point
which may or may not be on
, can we find the line perpendicular to
passing through
? By Euclid's Fifth Postulate, there exists
exactly one such line. The algorithm to find it is given below:
where
is the perpendicular line desired.
There is nothing difficult to memorize here: we already noted in the previous
section how to find the values of
and
, and finding the value
of
is merely setting
equal to zero (so that the
point
will be on the resulting line).
The foot of the perpendicular is the point at which it intersects the
line
. It is guaranteed to exist since two lines cannot, of course, be
both perpendicular and parallel. Combining the above algorithm with the line intersection algorithm
explained earlier gives a solution for the location of the point. A bit of algebra gives
this optimized algorithm:
where
are the coordinates of the foot of the perpendicular from
to
.
The distance from a point to a line
By the distance from a point
to a line
what is meant is the closest possible distance from
to any point on
. What point on
is closest to
?
It is intuitive perhaps that it is obtained by dropping a perpendicular
from
to
. That is, we choose a point
such that
, and the distance from
to
is then the length
of line segment
, denoted
.
The reason why this is the shortest distance possible is this: Choose any other
point
on
. Now,
is right-angled at
.
The longest side of a right triangle is the hypotenuse, so that
. Thus
is truly the shortest possible distance.
Now, as noted earlier, the line
, being perpendicular to
, has the direction numbers
. Thus, for any
, the point
is on
. For some choice of
, this point must coincide with
.
Since that point lies on
, we have
This instantly gives the formula for the foot of the perpendicular given in
the previous section.
Now, the distance
is found with the Euclidean formula:
The last line is the formula to remember. To restate,
(It was noted earlier that if
and
are both zero, then
we don't actually have a line. Therefore, the denominator above can never be
zero, which is a good thing.)
On which side of a line does a point lie?
A line partitions the plane into two regions. For example, a vertical line
divides the plane into a region on the left and a region on the right. Now,
when a point
does not satisfy the equation of a line
, can we determine on which side of the line it lies?
Yes we can, with a certain restriction. If
, then the
point lies on one side of the line; if
, then it lies
on the other side. However, it's a bit pointless to say \emph{which} side it
lies on: does it lie on the left or the right? If the line is horizontal, then
this question becomes meaningless. Also, notice that if we flip the signs of
,
, and
, then the value of
is
negated also, but that changes neither the point or the line. It is enough,
however, to tell if two points are on the same side of the line or on opposite
sides; simply determine whether
has the same sign for both,
or different signs.
The distance between two lines
If two lines intersect, the closest distance between them is zero, namely at
their intersection point. If they are coincident, then the distance is
similarly zero. If two lines are parallel, however, there is a nonzero distance
between them, and it is defined similarly to the distance between a point and a
line. To find this distance, we notice that the lines
and
are coincident, where
is the origin,
is
the foot of the perpendicular from
to
, and
is the
foot of the perpendicular from
to
. We know, by substituting
for both
(
) and
(
) that:
Now here we come up against a complication. If
is on the line
segment
, then we have to add
and
to get the desired
. That is, if
is on the same
side of both lines. Otherwise, we have to take the difference. Here's some
code that takes care of these details:




























